Задать свой вопрос
*более 50 000 пользователей получили ответ на «Решим всё»
Задача 2706
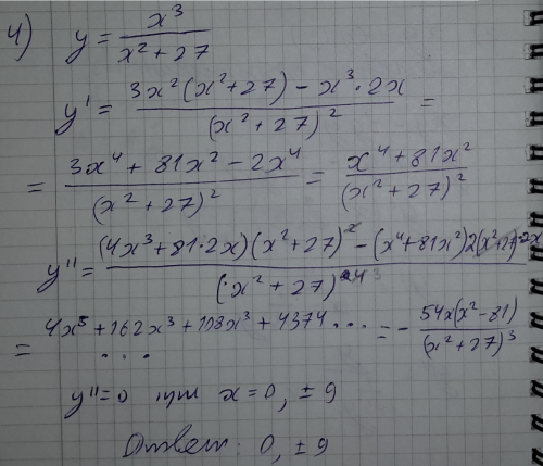
Определить точки перегиба функции...
Условие
slava191
16.01.2015
Определить точки перегиба функции y=x^3/(x^2+27)
математика ВУЗ
2026
Решение
Ответ:
В решение
Написать комментарий
Меню
Решим всё
Найти задачу
Категории
Статьи
Тесты
Архив задач
Присоединяйся в ВК