Задать свой вопрос
*более 50 000 пользователей получили ответ на «Решим всё»
Задача 2703
...
Условие
slava191
16.01.2015
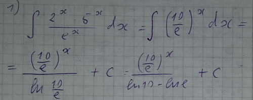
Вычислить интеграл ∫2^x*5^x/e^xdx
математика ВУЗ
2298
Решение
Ответ:
В решение
Написать комментарий
Меню
Решим всё
Найти задачу
Категории
Статьи
Тесты
Архив задач
Присоединяйся в ВК