Задать свой вопрос   *более 50 000 пользователей получили ответ на «Решим всё»

Задача 27023 Камень брошен вниз с высоты 15м. Высота...

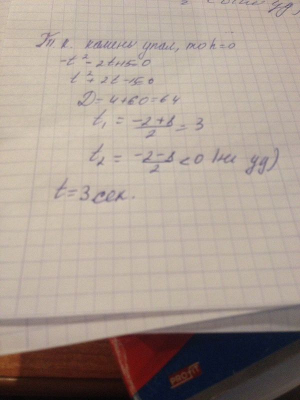
Условие

Камень брошен вниз с высоты 15м. Высота h, на которой находится камень во время падения, зависит от времени t:
h(t)=15–2t–t2. Сколько секунд камень будет падать?

математика 10-11 класс 3010

Все решения

если решать квадратное уравнение
15–2t–t2=0
получим 2 корня, -5 и 3, отрицательный отбрасываем,
остается верный ответ 3 сек
***************
уважаю

Написать комментарий

Меню

Присоединяйся в ВК