Задать свой вопрос
*более 50 000 пользователей получили ответ на «Решим всё»
Задача 27022
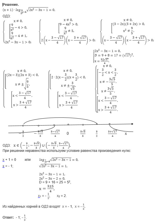
(x + 1) · log(9/x^2 - 4) sqrt(2x^2-3x-1)...
Условие
u85173130166
02.05.2018
(x + 1) · log(9/x^2 - 4) sqrt(2x^2-3x-1) = 1
предмет не задан
581
Все решения
u821511235
03.05.2018
Написать комментарий
Меню
Решим всё
Найти задачу
Категории
Статьи
Тесты
Архив задач
Присоединяйся в ВК