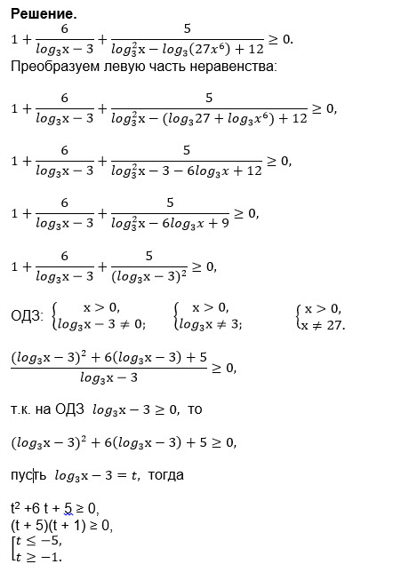
Замена переменной
log_(3)x=t
x > 0
1+(6/(t-3))+(5/(t^2-6t+9)) больше или равно 0
(t^2-6t+9+6t-18+5)/(t-3)^2 больше или равно 0
(t-2)(t+2)/(t-3)^2 больше или равно 0
t меньше или равно -2 или t больше или равно 2
t ≠ 3
log_(3)x меньше или равно -2 ⇒ x ∈ (0;1/9]
log_(3)x больше или равно 2 ⇒ x больше или равно 9
log_(3)x ≠ 3 ⇒ x ≠ 27
О т в е т. (0;1/9] U [9;27)U(27;+ бесконечность)
