Задать свой вопрос
*более 50 000 пользователей получили ответ на «Решим всё»
Задача 26925
Л9. Найдите значение выражения...
Условие
slava191
29.04.2018
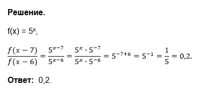
Л9. Найдите значение выражения f(x-7)/f(x-6), если f(x)=5^x
математика 10-11 класс
15534
Решение
u821511235
29.04.2018
★
Написать комментарий
Меню
Решим всё
Найти задачу
Категории
Статьи
Тесты
Архив задач
Присоединяйся в ВК