Задать свой вопрос
*более 50 000 пользователей получили ответ на «Решим всё»
Задача 26914
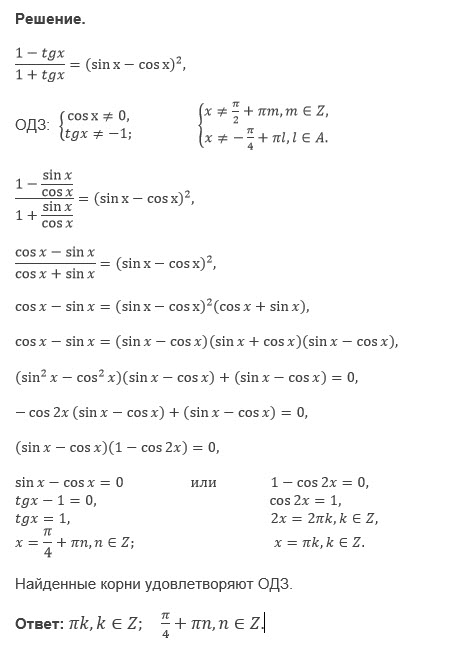
4.27) (1-tgx)/(1+tgx) = (sinx-cosx)^2...
Условие
slava191
29.04.2018
4.27) (1-tgx)/(1+tgx) = (sinx-cosx)^2
математика 10-11 класс
7435
Решение
u821511235
30.04.2018
★
Все решения
SOVA
29.04.2018
Удалено, так как отмечено лучшее
Написать комментарий
Меню
Решим всё
Найти задачу
Категории
Статьи
Тесты
Архив задач
Присоединяйся в ВК