Задать свой вопрос   *более 50 000 пользователей получили ответ на «Решим всё»

Задача 26913 4.23) 2cos3x=sqrt(3)cosx+sinx...

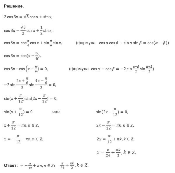
Условие

4.23) 2cos3x=sqrt(3)cosx+sinx

математика 10-11 класс 8000

Решение

Все решения

Воспользуемся методом введения вспомогательного угла
Делим уравнение на 2

сos3x=sqrt(3)/2 cosx+(1/2)sinx

Так как
sqrt(3)/2=sin(Pi/3)
(1/2)=cos(Pi/3)

сos3x=sin(Pi/3)* cosx+cos(Pi/3)*sinx

cos3x=sin(x+(Pi/3))
sin(x+Pi/3)-sin((Pi/2)-3x)=0
2sin(2x-(Pi/12))*cos(5Pi/12)-x)=0

sin(2x-(Pi/12))=0
2x-(Pi/12)=Pik, k∈ Z
2x =(Pi/12)+Pik, k∈ Z
x=(Pi/24)+(Pi/2)*k, k∈ Z

или
cos(5Pi/12)-x)=0
сos(x-(5Pi/12))=0
x-(5Pi/12)=(Pi/2)+Pin, n ∈ Z
x=(5Pi/12)+(Pi/2)+Pin, n ∈ Z
x=(11Pi/12)+Pin, n ∈ Z

О т в е т. (Pi/24)+(Pi/2)*k,(11Pi/12)+Pin, k, n ∈ Z

Написать комментарий

Меню

Присоединяйся в ВК