Задать свой вопрос
*более 50 000 пользователей получили ответ на «Решим всё»
Задача 26909
4.19)...
Условие
slava191
29.04.2018
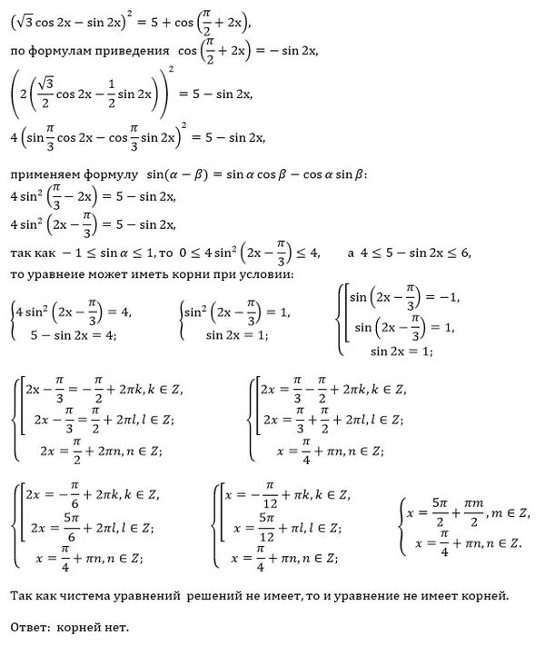
4.19) (sqrt(3)cos2x-sin2x)^2=5+cos(Pi/2+2x)
математика 10-11 класс
2909
Решение
Написать комментарий
Меню
Решим всё
Найти задачу
Категории
Статьи
Тесты
Архив задач
Присоединяйся в ВК