Задать свой вопрос   *более 50 000 пользователей получили ответ на «Решим всё»

Задача 26907 4.3) sqrt(2)cos^25x=cos5x...

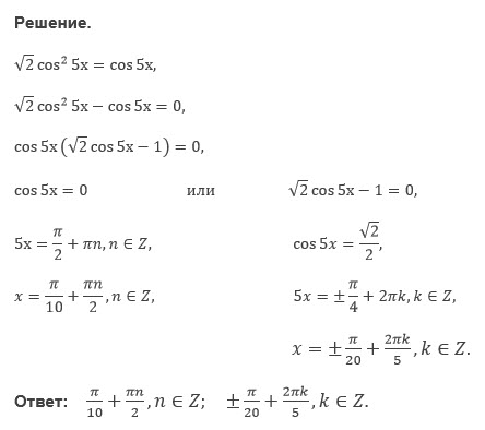
Условие

4.3) sqrt(2)cos^25x=cos5x

математика 10-11 класс 2663

Решение

√2cos^25x=cos5x
√2cos^25x-cos5x=0
cos5x*(√2cos5x-1)=0
cos5x=0 или сos5x=1/sqrt(2)
5x=(Pi/2)+Pik, k ∈Z или 5х= ± (Pi/4)+2Pin, n ∈ Z ⇒
x=(Pi/10)+(Pi/5)k, k ∈Z или х= ± (Pi/20)+(2Pi/5)*n, n ∈ Z

О т в е т. (Pi/10)+(Pi/5)k, ± (Pi/20)+(2Pi/5)*n, k, n ∈ Z

Все решения

Написать комментарий

Меню

Присоединяйся в ВК