Задать свой вопрос   *более 50 000 пользователей получили ответ на «Решим всё»

Задача 26880 15) log(2-x)(x+2) * log(x+3)(9-x) меньше...

Условие

15) log(2-x)(x+2) * log(x+3)(9-x) меньше или равно 0

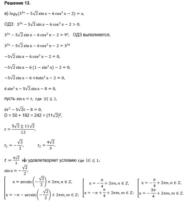
13) log9(3^(2x)-5sqrt(2)sinx-6cos^2x-2) = x, [-2Pi; -Pi/2]

математика 10-11 класс 745

Все решения

№15+№13

Написать комментарий

Меню

Присоединяйся в ВК