2) log2(8x)log3(27x) / (x^2 - |x|) ≤ 0
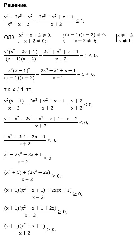
x≠ -2
x≠ 1
Раскладываем на множители
x^4-2x^3+x^2=x^2*(x^2-2x+1)=x^2*(x-1)^2
x^2+x-2=(x-1)(x+2)
В условиях ОДЗ
первая дробь примет вид: x^2*(x-1)/(x+2)
2x^3+x^2+x-1=x^2*(2+x) + (x-1)
Итак, неравенство принимает вид
x^2*(x-1)/(x+2) - ((2x^3 +x^2+x-1))/(x+2)) - 1 меньше или равно 0
(x^3-x^2-2x^3-x^2-x+1-x-2)/(x+2) меньше или равно 0
(-x^3-2x^2-2x-1)/(x+2) меньше или равно 0
(x^3+2x^2+2x+1)/(x+2) больше или равно 0
((x^3+1)+2x*(x+1))/(x+2)больше или равно 0
(x+1)*(x^2-x+1+1)/(x+2)больше или равно 0
(x+1)*(x+2)больше или равно 0
C учетом ОДЗ ответ
(-бесконечность;-2)U[-1;1)U(1;+ бесконечность )
2.
оДЗ:
{x > 0
{x^2-|x|≠0
При x > 0 |x|=x
x^2-x≠0
x≠0 и х ≠1
(0;1)U(1;+бесконечность)
Применяем обобщенный метод интервалов.
Находим нули числителя
log_(2)8x=0
8x=1
x=1/8
log_(3)27x=0
27x=1
x=1/27
Отмечаем на промежутке (0;1) U(1;бесконечность) эти точки и расставляем знаки.
(0) __-_ [1/27] ___+__ [1/8] __-__ (1) __+___
log_(2)8x > 0 при х > 1/8
log_(3)27x > 0 при x > 1/27
x^2-|x|=x^2-x < 0 при 0 < x < 1
x^2-|x|=x^2-x > 0 при х > 1
О т в е т. 90;1/27]U [1/8;1)

