Задать свой вопрос   *более 50 000 пользователей получили ответ на «Решим всё»

Задача 26812 ...

Условие

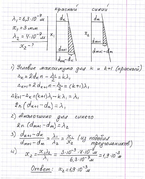
Есть решение. Нужно сказать откуда 1-я формула и вывести её. +Рисунок
Мыльная пленка, расположенная в воздухе вертикально,
образует клин вследствие стекания жидкости. Интерференция на пленке
наблюдается в отраженном свете через красное стекло (длина волны света
λ1 = 631 нм). Расстояние между соседними красными полосами при этом
равно ℓ1 = 3 мм. Затем эта же пленка наблюдается через фиолетовое стекло
(λ2 = 400 нм). Найдите расстояние ℓ2 между соседними синими
интерференционными полосами. Считать, что за время измерений форма
пленки не изменится и свет падает перпендикулярно к поверхности
пленки.
Ответ: 1,9 мм.

физика 10-11 класс 6535

Решение

Написать комментарий

Меню

Присоединяйся в ВК