Задать свой вопрос
*более 50 000 пользователей получили ответ на «Решим всё»
Задача 26801
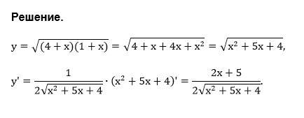
Найти производные: 1) y = sqrt((4 +...
Условие
u18511714972
26.04.2018
Найти производные:
1) y = sqrt((4 + x)(1 + x)). Найти y'.
предмет не задан
755
Все решения
u821511235
26.04.2018
Написать комментарий
Меню
Решим всё
Найти задачу
Категории
Статьи
Тесты
Архив задач
Присоединяйся в ВК