Задать свой вопрос   *более 50 000 пользователей получили ответ на «Решим всё»

Задача 26799 Найдите расстояние между точками С и D,...

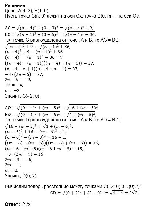
Условие

Найдите расстояние между точками С и D, равноудаленными от точек А(4; 3) и В(1; 6), и лежащими на осях координат.

математика 8-9 класс 2600

Решение



Ответ: 2√(2)

Написать комментарий

Меню

Присоединяйся в ВК