Задать свой вопрос
*более 50 000 пользователей получили ответ на «Решим всё»
Задача 26778
...
Условие
u952205146
25.04.2018
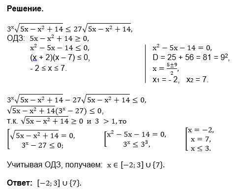
3^xsqrt(5x - x² + 14) ≤ 27sqrt(5x - x² + 14)
математика 10-11 класс
769
Решение
SOVA
25.04.2018
★
Все решения
u821511235
26.04.2018
Написать комментарий
Меню
Решим всё
Найти задачу
Категории
Статьи
Тесты
Архив задач
Присоединяйся в ВК