Задать свой вопрос
*более 50 000 пользователей получили ответ на «Решим всё»
Задача 26732
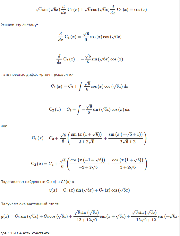
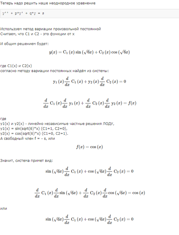
y''+6y=cos6x ...
Условие
u465619622
24.04.2018
y''+6y=cos6x
математика ВУЗ
931
Все решения
SOVA
24.04.2018
Написать комментарий
Меню
Решим всё
Найти задачу
Категории
Статьи
Тесты
Архив задач
Присоединяйся в ВК