Задать свой вопрос   *более 50 000 пользователей получили ответ на «Решим всё»

Задача 26728 упростить выражение...

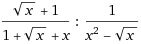
Условие

упростить выражение

предмет не задан 504

Решение

Так как
x^2- sqrt(x)=sqrt(x)*(x^(3/2)-1)=sqrt(x)*((sqrt(x))^3-1)=

=sqrt(x)*(sqrt(x)-1)*(x+sqrt(x)+1)

Получаем
((sqrt(x)+1)/(1+sqrt(x)+x)): (1/(x^2-sqrt(x))=

=((sqrt(x)+1)/(1+sqrt(x)+x)) * (x^2-sqrt(x))=

=((sqrt(x)+1)/(1+sqrt(x)+x)) * sqrt(x)*(sqrt(x)-1)*(x+sqrt(x)+1)=

=(sqrt(x)+1)*(sqrt(x)-1)* sqrt(x)=(x-1)*sqrt(x)

Написать комментарий

Меню

Присоединяйся в ВК