Задать свой вопрос
*более 50 000 пользователей получили ответ на «Решим всё»
Задача 26706
Вариант 7. a) y'' - 7y' - 8y = xe^x; б)...
Условие
u465619622
24.04.2018
Вариант 7.
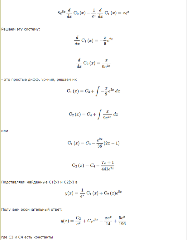
a) y'' - 7y' - 8y = xe^x;
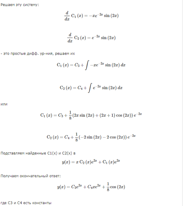
б) y''' - y'' - y' + y = 10x.
предмет не задан
1081
Все решения
SOVA
24.04.2018
.
Написать комментарий
Меню
Решим всё
Найти задачу
Категории
Статьи
Тесты
Архив задач
Присоединяйся в ВК