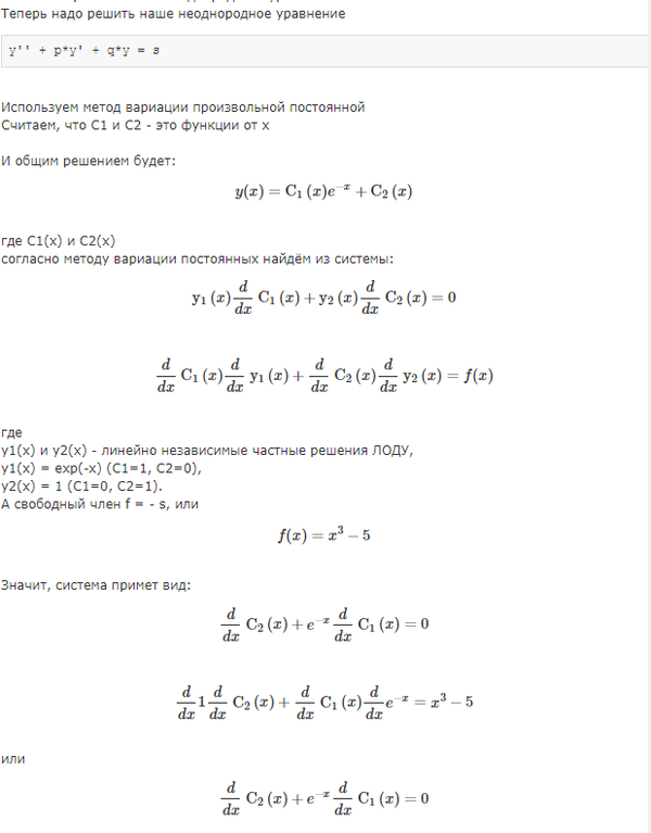
a) f(x) = x^3 - 5;
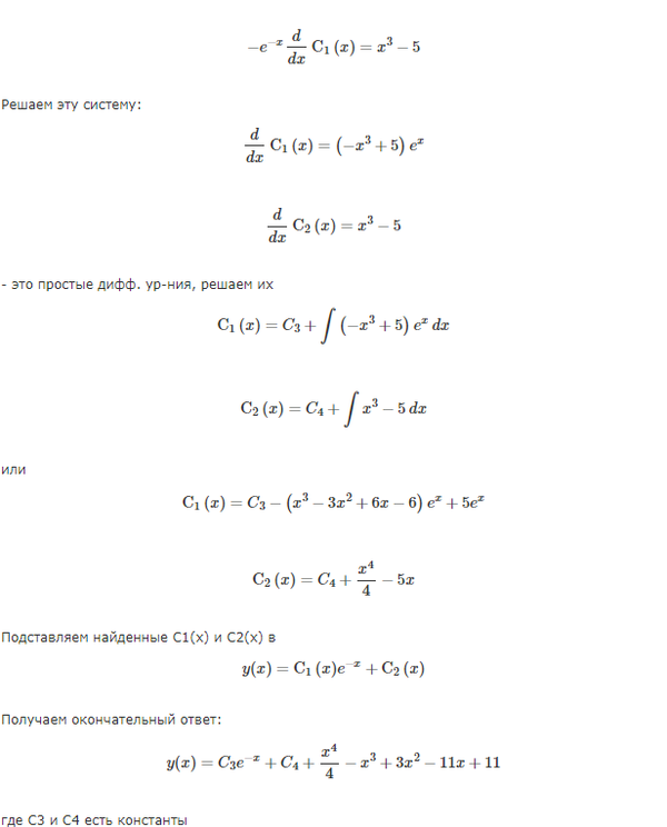
б) f(x) = 3cosx
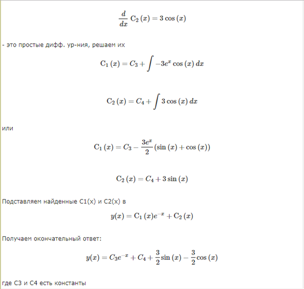
в) f(x) = e^-x (x + 1);
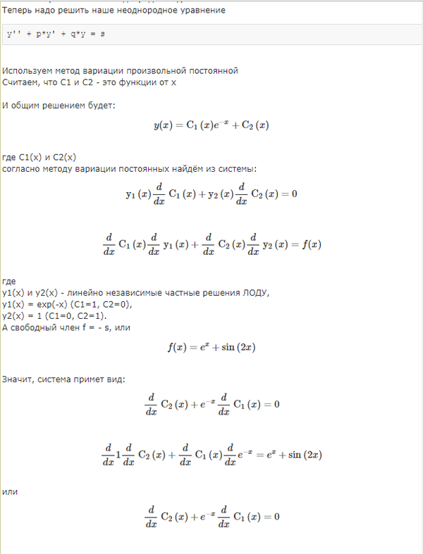
г) f(x) = e^x + sin 2x.
k^2+k=0
k_(1)=0 или k_(2)=-1
y_(однород)=C_(1)*e^(0) + C_(2)e^(-x) - общее решение однородного уравнения y``+y`=0
решение неоднородных уравнений в каждом случае см в приложении





