Перерешиваем: [link=https://reshimvse.com/zadacha.php?id=863]
Ответ должен получится: (-бесконечность; -5) U (2; бесконечность)
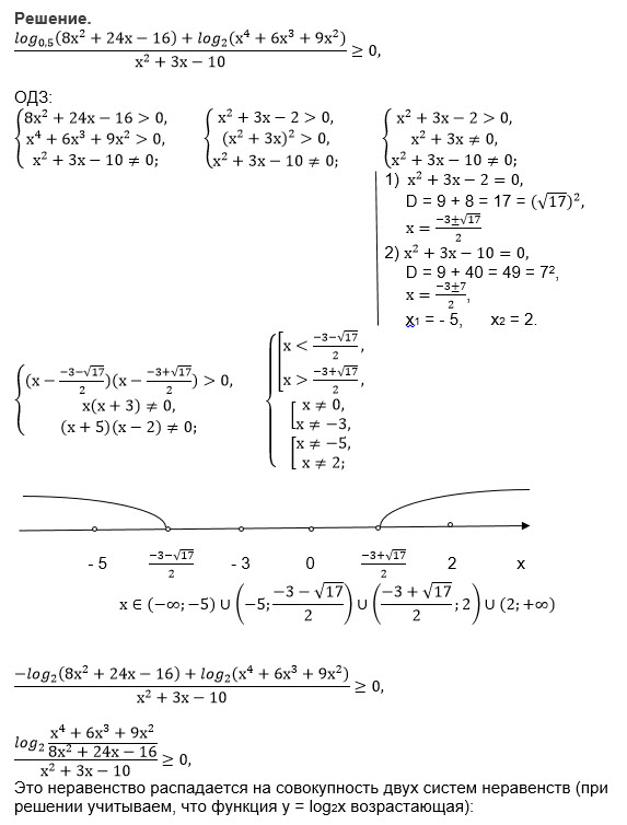
{8x^2+24x-16 > 0 ⇒ 8*(x^2+3x-2) > 0 ⇒ D=17;x =(-3 ±√17)/2
{x^4+6x^3+9x^2 > 0 ⇒ x^2(x^2+6x+9) > 0 ⇒ x^2*(x+3)^2 > 0⇒x≠ 0 и х≠ -3
{x^2+3x-10 ≠0⇒ D= 49; x≠ -5 и х≠ 2
x^2+3x-2 > 0
D=9-4*(-2)=17
x_(1)=(-3-sqrt(17))/2 или x_(2)=(-3+sqrt(17))/2
ОДЗ
(- бесконечность ;-5)U(-5;(-3-sqrt(17))/2)U((-3+sqrt(17))/2;2)U(2;+ бесконечность )
log_(0,5)(8x^2+24x-16)=log_(2)(8*(x^2+3x-2))/log_(2)0,5=
=-log_(2)8(x^2+3x-2)
Тогда
log_(0,5)(8x^2+24x-16)+log_(2)(x^4+6x^3+9x^2)=
=-log_(2)(8*(x^2+3x-2))+log_(2)x^2(x+3)^2=
=log_(2)(x^2*(x+3)^2/(8*(x^2+3x-2)))=
=log_(2)(x*(x+3))^2/(8*(x^2+3x-2)=
=log_(2)(x^2+3x)^2/(8*(x^2+3x-2))
Неравенство принимает вид:
(log_(2)(x^2+3x)^2/(8*(x^2+3x-2)))/(x^2+3x-10) больше или равно 0
Замена переменной
x^2+3x=t
(log_(2)t^2/(8t-16))/(t-10) больше или равно 0
Неравенство равносильно двум системам
1)
{log_(2)(t^2)/(8t-16) больше или равно 0
{t-10 > 0
или
2)
{log_(2)(t^2)/(8t-16) меньше или равно 0
{t-10 < 0
Решаем первое неравенство:
{log_(2)(t^2)/(8t-16) больше или равно 0
(2-1)*((t^2/(8t-16))-1)больше или равно 0
(t^2-8t+16)/(8t-16) больше или равно 0
так как t^2-8t+16 > 0 при любом t ⇒ 8t-16 > 0 ⇒ t > 2 ⇒ x^2+3x-2 > 0
1)
{x^2+3x-2 > 0 ( см. ОДЗ)
{ D=49 x∈ (-∞; -5)U(2;+∞)
2)
Первое неравенство второй системы имеет два решения: a) t=4 или б) t < 2
a)
{t=4 ⇒ x^2+3x=4 ⇒ x=-4 или х=1
{x∈ (-5;2)
Ответ а) x=-4 или х=1
Или
б)
{(x^2+3x-2 < 0 - противоречит ОДЗ
{ x∈ (-5;2)
Cистема не имеет решений
Объединяем ответы 1) и 2а и с учетом ОДЗ получаем ответ
О т в е т. ( (-∞; -5)U{-4} U {1} U(2;+∞)
