Задать свой вопрос
*более 50 000 пользователей получили ответ на «Решим всё»
Задача 26626
Решите систему уравнений...
Условие
u18816215167
22.04.2018
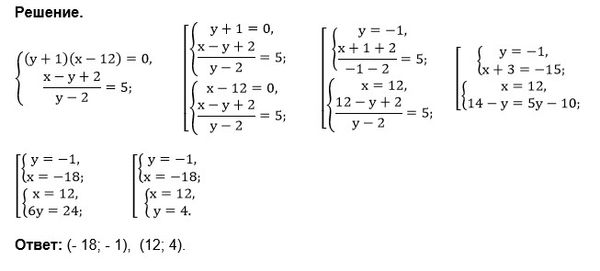
Решите систему уравнений
(y+1)(x-12)=0
x-y+2/y-2=5
предмет не задан
2234
Все решения
u821511235
22.04.2018
Написать комментарий
Меню
Решим всё
Найти задачу
Категории
Статьи
Тесты
Архив задач
Присоединяйся в ВК