Задать свой вопрос
*более 50 000 пользователей получили ответ на «Решим всё»
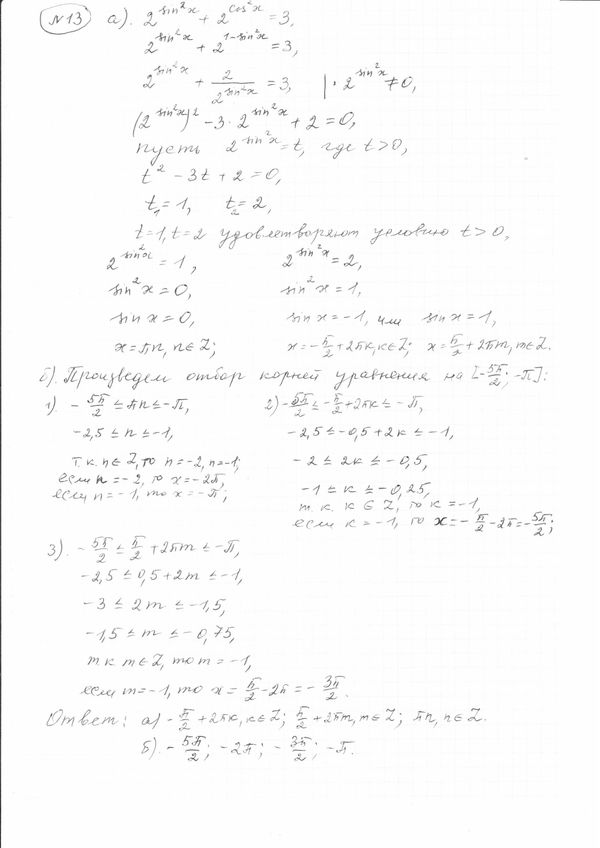
Задача 26528
2^sin^2x + 2^cos^2 x =3...
Условие
u21387134247
19.04.2018
2^sin^2x + 2^cos^2 x =3
математика 10-11 класс
510
Все решения
u821511235
20.04.2018
Написать комментарий
Меню
Решим всё
Найти задачу
Категории
Статьи
Тесты
Архив задач
Присоединяйся в ВК