Задать свой вопрос
*более 50 000 пользователей получили ответ на «Решим всё»
Задача 26506
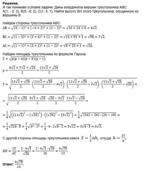
Все на картинке...
Условие
u911079639
19.04.2018
Все на картинке
математика 10-11 класс
507
Все решения
u821511235
20.04.2018
Написать комментарий
Меню
Решим всё
Найти задачу
Категории
Статьи
Тесты
Архив задач
Присоединяйся в ВК