Задать свой вопрос   *более 50 000 пользователей получили ответ на «Решим всё»

Задача 26487 ...

Условие

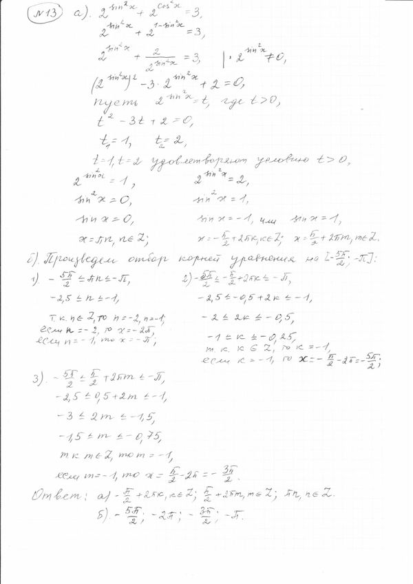
13
a) Решите уравнение 2^(sin^2x) + 2^(cos^2x) = 3.
б) Найдите все корни этого уравнения, принадлежащие промежутку [-5π/2, -π].

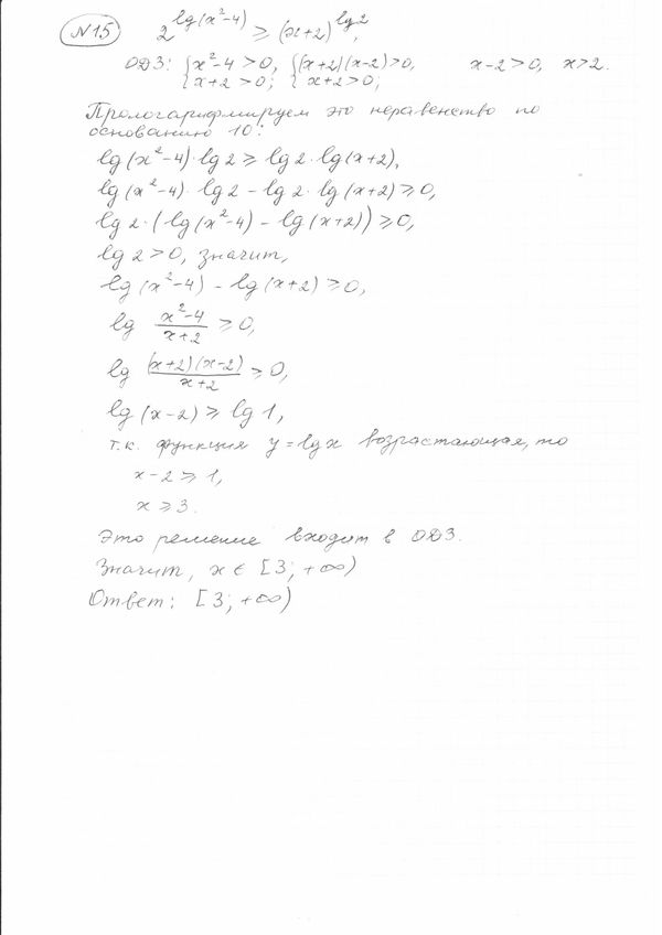
15
Решите неравенство 2^(lg(x²-4)) ≥ (x+2)^(lg2).

предмет не задан 705

Все решения

Написать комментарий

Меню

Присоединяйся в ВК