Задать свой вопрос
*более 50 000 пользователей получили ответ на «Решим всё»
Задача 26480
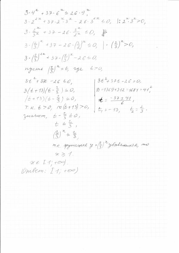
Решите неравенство 3*4^x+37*6^x <...
Условие
u5228110202
18.04.2018
Решите неравенство 3*4^x+37*6^x < =26*9^x
предмет не задан
816
Решение
u821511235
19.04.2018
★
Написать комментарий
Меню
Решим всё
Найти задачу
Категории
Статьи
Тесты
Архив задач
Присоединяйся в ВК