Задать свой вопрос
*более 50 000 пользователей получили ответ на «Решим всё»
Задача 2648
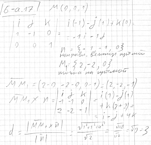
Найдите расстояние от точки M(0,0,1) до...
Условие
slava191
08.01.2015
Найдите расстояние от точки M(0,0,1) до прямой system{x-y-4=0; z=0}
математика ВУЗ
1387
Решение
Ответ:
3
Написать комментарий
Меню
Решим всё
Найти задачу
Категории
Статьи
Тесты
Архив задач
Присоединяйся в ВК