Задать свой вопрос
*более 50 000 пользователей получили ответ на «Решим всё»
Задача 26470
Решите систему уравнений ...
Условие
u18816215167
18.04.2018
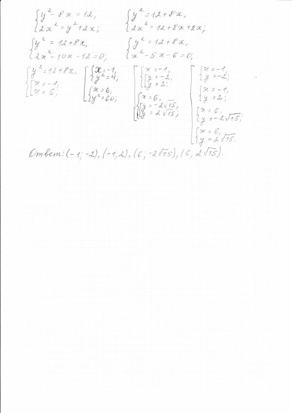
Решите систему уравнений
y^2-8x=12
2x^2=y^2+2x
предмет не задан
2364
Решение
u821511235
19.04.2018
★
Написать комментарий
Меню
Решим всё
Найти задачу
Категории
Статьи
Тесты
Архив задач
Присоединяйся в ВК