Задать свой вопрос   *более 50 000 пользователей получили ответ на «Решим всё»

Задача 2646 Составьте уравнение плоскости,...

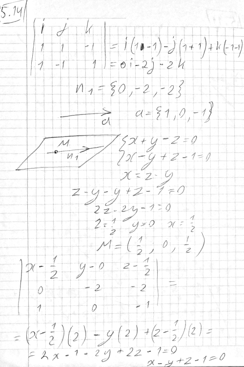
Условие

Составьте уравнение плоскости, проходящей через прямую system{x+y-z=0;x-y+z-1=0} параллельно вектору {1,0,-1}

математика 10-11 класс 1822

Решение



Ответ: x-y+z-1=0

Написать комментарий

Меню

Присоединяйся в ВК