Задать свой вопрос
*более 50 000 пользователей получили ответ на «Решим всё»
Задача 2643
Запишите уравнение плоскости, проходящей...
Условие
slava191
08.01.2015
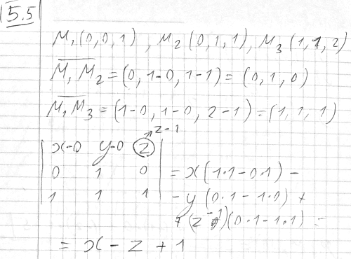
Запишите уравнение плоскости, проходящей через точки M1(0,0,1), M2(0,1,1), M3(1,1,2)
математика ВУЗ
1427
Решение
Ответ:
x-z+1=0
Написать комментарий
Меню
Решим всё
Найти задачу
Категории
Статьи
Тесты
Архив задач
Присоединяйся в ВК