Задать свой вопрос
*более 50 000 пользователей получили ответ на «Решим всё»
Задача 2642
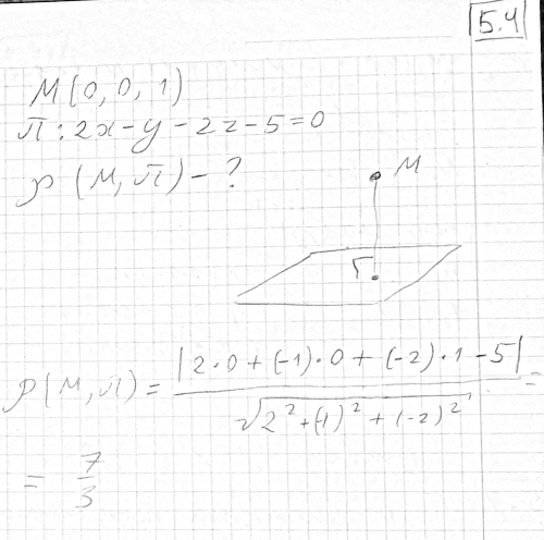
Найдите расстояние от точки M(0,0,1) до...
Условие
slava191
08.01.2015
Найдите расстояние от точки M(0,0,1) до плоскости 2x-y-2z-5=0
математика ВУЗ
2703
Решение
Ответ:
7/3
Написать комментарий
Меню
Решим всё
Найти задачу
Категории
Статьи
Тесты
Архив задач
Присоединяйся в ВК