Задать свой вопрос   *более 50 000 пользователей получили ответ на «Решим всё»

Задача 2641 Найдите угол между плоскостью...

Условие

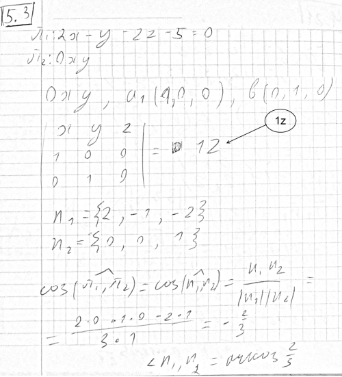
Найдите угол между плоскостью 2x-y-2z-5=0 и координатной плоскостью Oxy

математика ВУЗ 6323

Решение



Ответ: arccos 2/3

Вопросы к решению (1)

Написать комментарий

Меню

Присоединяйся в ВК