Задать свой вопрос
*более 50 000 пользователей получили ответ на «Решим всё»
Задача 2638
Вычислите векторное произведение [a,b],...
Условие
slava191
07.01.2015
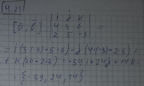
Вычислите векторное произведение [a,b], если a={4,3,6} и b={2,5,-3}.
математика ВУЗ
1687
Решение
Ответ:
{-39,24,14}
Написать комментарий
Меню
Решим всё
Найти задачу
Категории
Статьи
Тесты
Архив задач
Присоединяйся в ВК