Задать свой вопрос   *более 50 000 пользователей получили ответ на «Решим всё»

Задача 2628 Найдите собственные векторы, отвечающие...

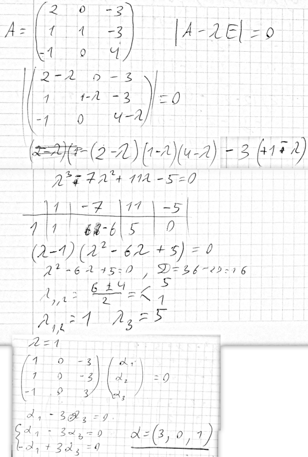
Условие

Найдите собственные векторы, отвечающие наименьшему собственному значению оператора с матрицей

математика ВУЗ 2287

Решение

Не уверен в правильности решения, но вот что есть

Ответ: В решение

Написать комментарий

Меню

Присоединяйся в ВК