Задать свой вопрос
*более 50 000 пользователей получили ответ на «Решим всё»
Задача 2614
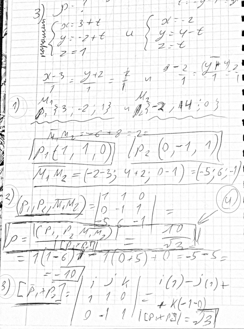
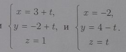
Найдите расстояние между прямыми...
Условие
slava191
05.01.2015
Найдите расстояние между прямыми заданными параметрическими уравнениями
математика ВУЗ
4832
Решение
Ответ:
В решение
Написать комментарий
Меню
Решим всё
Найти задачу
Категории
Статьи
Тесты
Архив задач
Присоединяйся в ВК