Задать свой вопрос   *более 50 000 пользователей получили ответ на «Решим всё»

Задача 2612 Найдите собственные числа и собственные...

Условие

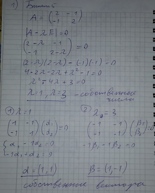
Найдите собственные числа и собственные векторы линейного оператора, заданного матрицей

математика ВУЗ 2346

Решение



Ответ: В решение

Написать комментарий

Меню

Присоединяйся в ВК