Задать свой вопрос
*более 50 000 пользователей получили ответ на «Решим всё»
Задача 25839
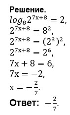
Все на картинке...
Условие
u952920068
04.04.2018
Все на картинке
предмет не задан
514
Все решения
u821511235
04.04.2018
Написать комментарий
Меню
Решим всё
Найти задачу
Категории
Статьи
Тесты
Архив задач
Присоединяйся в ВК