Задать свой вопрос
*более 50 000 пользователей получили ответ на «Решим всё»
Задача 25762
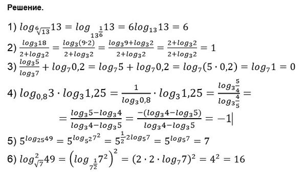
Все на картинке...
Условие
u2171187946
02.04.2018
Все на картинке
предмет не задан
722
Все решения
u821511235
04.04.2018
Написать комментарий
Меню
Решим всё
Найти задачу
Категории
Статьи
Тесты
Архив задач
Присоединяйся в ВК