Задать свой вопрос   *более 50 000 пользователей получили ответ на «Решим всё»

Задача 2576 2 sin a*cos b -sin...

Условие

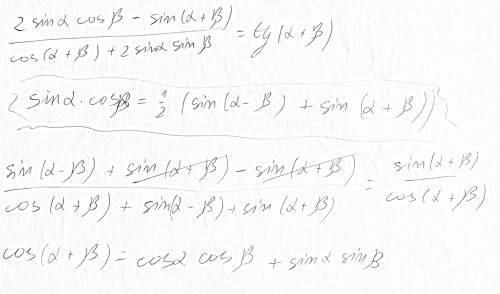
2 sin a*cos b -sin (a+b)
_______________________________==tg(a+b)
cos (a+b)+2 sin a*sin B

45 задание)

математика ВУЗ 2373

Все решения

Решить у меня не вышло, но мне кажется она не сложна тпросто похимичьте с формулами сложения

Написать комментарий

Меню

Присоединяйся в ВК