Задать свой вопрос   *более 50 000 пользователей получили ответ на «Решим всё»

Задача 25740 Решите уравнение x в квадрате–10x+24=0...

Условие

Решите уравнение x в квадрате–10x+24=0 полное решение

математика 8-9 класс 5181

Все решения

Решение:
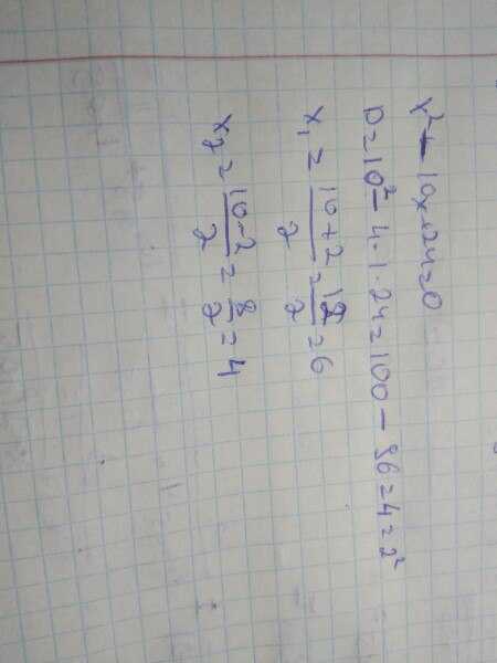
x^2-10x+24=0
X1.2=5+-sgrt(25-24)=5+-1
x1=5+1=6
x2=5-1=4
Ответ: x1=6; x2=4.

Написать комментарий

Меню

Присоединяйся в ВК