Задать свой вопрос   *более 50 000 пользователей получили ответ на «Решим всё»

Задача 2572 Основанием прямой треугольной призмы...

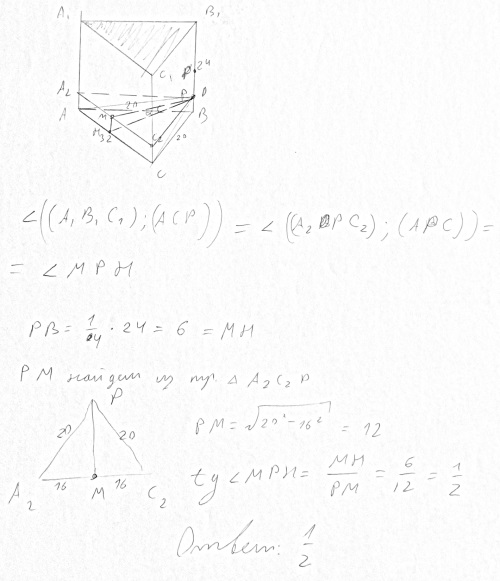
Условие

Основанием прямой треугольной призмы АВСА1В1С1является рав­нобедренный треугольник ABC,в котором АВ = ВС = 20, АС = 32. Боковое ребро призмы равно 24. Точка Р принадлежит ребру ВВ1 причем BP : РВ1 = 1:3. Найдите тангенс угла между плоскостя­ми A1B1C1и АС Р.

математика 10-11 класс 13304

Все решения

Написать комментарий

Меню

Присоединяйся в ВК