Задать свой вопрос   *более 50 000 пользователей получили ответ на «Решим всё»

Задача 25387 На участке 8 станков. Вероятность отказа...

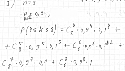
Условие

На участке 8 станков. Вероятность отказа каждого из них 0,1. Найти вероятность того, что в момент времени t работает не менее половины станков.

математика ВУЗ 1308

Решение

Решается по средствам формул Бернулли. Честь посчитать оставляю Вам

Ответ: В решение

Написать комментарий

Меню

Присоединяйся в ВК