Задать свой вопрос   *более 50 000 пользователей получили ответ на «Решим всё»

Задача 25055 В правильной треугольной призме...

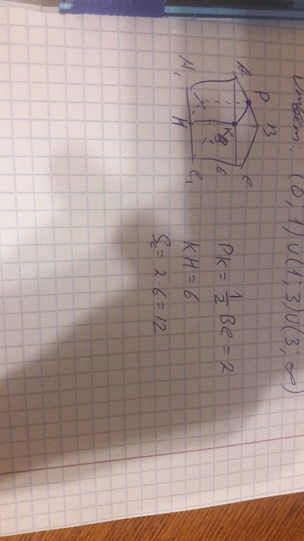
Условие

В правильной треугольной призме ABCA1B1C1 стороны оснований равны 4, боковые рёбра равны 6. Найдите площадь сечения призмы плоскостью, проходящей через середины рёбер AB, AC, A1С1 (ответ запишите числом или десятичной дробью)

предмет не задан 5640

Все решения

Ответ: 12

Написать комментарий

Меню

Присоединяйся в ВК