Задать свой вопрос   *более 50 000 пользователей получили ответ на «Решим всё»

Задача 24914 При движении тела его координаты...

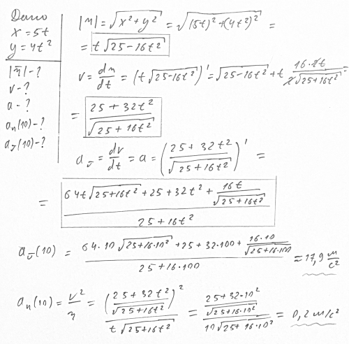
Условие

При движении тела его координаты изменяются по закону x=5t м, y=4t^2 м. Найти выражения для модуля радиус-вектора, скорости и ускорения. Определить значения тангенциального и нормального ускорения тела через 10 с после начала движения.

физика ВУЗ 3056

Решение



Ответ: В решение

Написать комментарий

Меню

Присоединяйся в ВК