Задать свой вопрос   *более 50 000 пользователей получили ответ на «Решим всё»

Задача 24913 При штамповке металлических клемм...

Условие

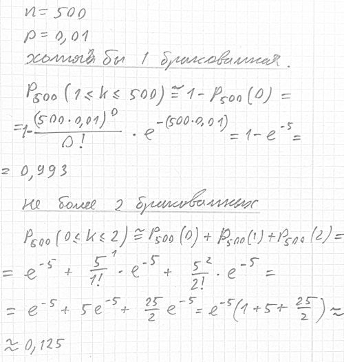
При штамповке металлических клемм получается в среднем 99% годных. Найти вероятность того, что среди 500 клемм будет хотя бы одна бракованная; не более двух бракованных.

математика ВУЗ 2545

Решение

Из-за большого n и малого p использовать интегральную теорему Лапласа не самая удачная идея. Для решения задачи использован закон Пуассона для приближения формулы Бернулли.

Написать комментарий

Меню

Присоединяйся в ВК