Задать свой вопрос   *более 50 000 пользователей получили ответ на «Решим всё»

Задача 24912 Пусть вероятность того, что наудачу...

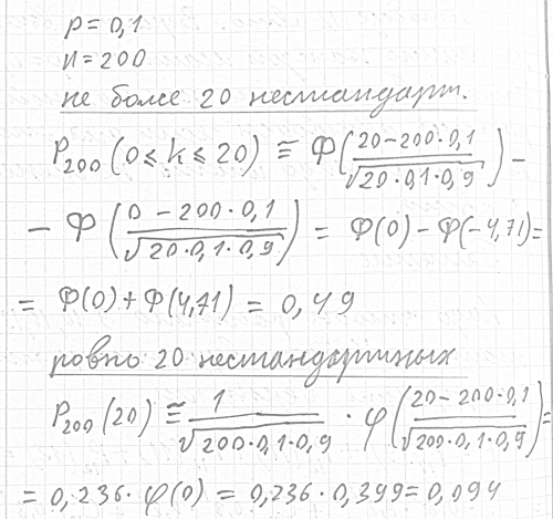
Условие

Пусть вероятность того, что наудачу взятая деталь нестандартна, равна 0,1. Найти вероятность того, что среди 200 взятых наудачу деталей окажется не более 20 нестандартных; ровно 20 нестандартных деталей.

математика ВУЗ 3236

Решение

В первом случае использована интегральная формула Лапласа, во втором локальная формула Лапласа.

Написать комментарий

Меню

Присоединяйся в ВК