Задать свой вопрос   *более 50 000 пользователей получили ответ на «Решим всё»

Задача 24739 В ответ запишите наибольшее целое...

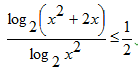
Условие

В ответ запишите наибольшее целое значение х из множества решений.

математика 820

Решение

ОДЗ:
{x^2+2x > 0 ⇒ x*(x+2) > 0 ⇒ (-бесконечность;-2)U(0;+бесконечность)
{x^2 > 0 ⇒ x ≠ 0
ОДЗ: х ∈ ( - бесконечность;-2)U(0;+бесконечность)

(2log_(2) x*(x+2) - log_(2)x^2)/2log_(2) x^2 меньше или равно 0

(log_(2) x^2*(x+2)^2 - log_(2)x^2)/2log_(2) x^2 меньше или равно 0

(log_(2) (x+2)^2/2log_(2) x^2 меньше или равно 0
Применяем обобщенный метод интервалов.
Находим нули числителя:
(x+2)^2 =1
x+2= ± 1 ⇒ x=-3 или х=-1
Находим нули знаменателя.
x^2=1 ⇒ x= ± 1
-1 не принадлежит ОДЗ
_-_ [-3] _+_ (-2) ______ (0) __+__(1) __+_

х меньше или равно -3

О т в е т. -3

Написать комментарий

Меню

Присоединяйся в ВК