Задать свой вопрос
*более 50 000 пользователей получили ответ на «Решим всё»
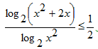
Задача 24738
В ответ запишите наибольшее целое...
Условие
u91246243
10.03.2018
В ответ запишите наибольшее целое значение х из множества решений.
математика 10-11 класс
683
О решение...
На нашем сайте такое бывает редко, но решение к данной задаче еще никто не написал.
Что Вы можете сделать?
Выставите данный вопрос вновь. Перейдите на
главную страницу
.
Найдите похожую задачу. Используйте
поиск
.
Написать комментарий
Меню
Решим всё
Найти задачу
Категории
Статьи
Тесты
Архив задач
Присоединяйся в ВК