Задать свой вопрос   *более 50 000 пользователей получили ответ на «Решим всё»

Задача 2466 Фокусное расстояние собирающей линзы F....

Условие

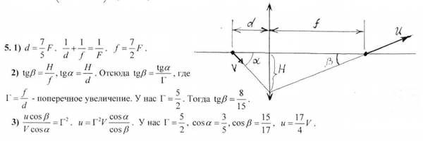
Фокусное расстояние собирающей линзы F. Муха в некоторый момент пересекает главную оптическую ось линзы на расстоянии от линзы (7/6)F. двигаясь со скоростью v под углом a (tga = 4/3) к оси линзы (см. рис.).
1) На каком расстоянии от линзы находится изображение мухи в этот момент?
2) Под каким утлом изображение мухи пересекает главную оптическую ось?
3) Найдите скорость изображения мухи в этот момент.

физика 10-11 класс 7717

Решение



Ответ: В решение

Вопросы к решению (1)

Написать комментарий

Меню

Присоединяйся в ВК