Задать свой вопрос   *более 50 000 пользователей получили ответ на «Решим всё»

Задача 24638 Тело скользит равномерно по наклонной...

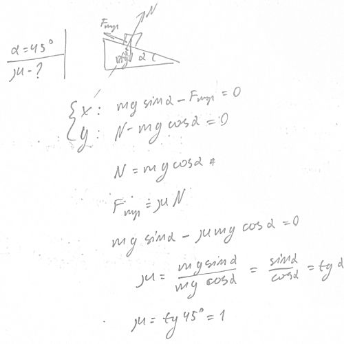
Условие

Тело скользит равномерно по наклонной плоскости с углом наклона 45°. Определить коэффициент трения тела о плоскость.

физика ВУЗ 19515

Решение



Ответ: В решение

Написать комментарий

Меню

Присоединяйся в ВК